扫一扫
关注我们,了解最新优惠
电化学工作站
仪器照片 |
| |
仪器名称 | 电化学工作站 | |
仪器型号 | CHI 660D | |
生产厂家 | 上海辰华 | |
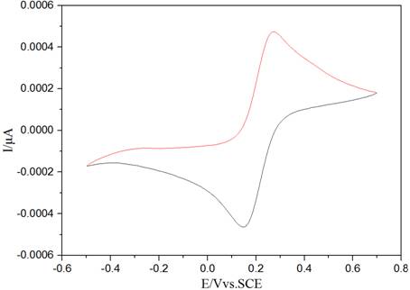
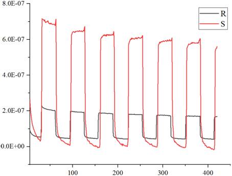
测试项目 | 阻抗,光电流,循环伏安,极化曲线,光电压 | |
技术参数 | ·控制电位:±10V ·电流:±250mA ·2、3、4电极体系 ·参比电极输入阻抗:1012Ω ·电位分辨率:0.1mV | ·灵敏度:0.1~1012AV 共34档 ·测量范围:±10X灵敏度 ·电流测量下限:<50pA ·工作环境:15~30°C, 相对湿度0~80% |
循环伏安 |
| |
数据展示 (阻抗) |
| |
数据展示 (光电流) |
| |
样品要求 | 粉末:样品须干燥处理,粒度小于300目,质量不少于0.1g; 液体: 不少于5 ml。 | |








